Skip to main content
Collections
Groups
People
Media
Favorites
Advanced Search
Expand
Favorite
IIIF
View PDF
Images(6)
Εργοδική αρχή του Birkoff σε σχέση με την μέθοδο του Pitt.
Previous
Next
Images(6)
Birkoff's ergodic principle to Pitt's method.
Date
1944
Medium
Χαρτί
Dimensions
21 x 29 εκ.
Classifications
Έγγραφο
Object number
MCC00313
Description
Excerpt from the work on Birkoff's ergodic principle in relation to Pitt's method.
RDF
XML
JSON
Discover More
PrimaryMedia:
About the mutual relationship of the edges in the conformal mapping of the interior of a Jordanian curve to a circle. On the delimitation of simply contiguous areas.
Καραθεοδωρή, Κωνσταντίνος
1913
PrimaryMedia:
Constantine Caratheodory with his sister Ioulia.
1883
PrimaryMedia:
Constantine Caratheodory with his colleagues and his daughter.
PrimaryMedia:
Constantine Caratheodory with his daughter and friends in Athens.
1930
PrimaryMedia:
Painting of Constantine Caratheodory on Hellenic Post (ELTA) stamp.
PrimaryMedia:
On a transformation analogous to the transformation of Legendre.
1922
PrimaryMedia:
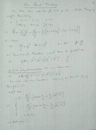
Laval's turbine.
Image Not Available
for Κριτική του Καραθεοδωρή σε άρθρο του J. V. Newmann.
Caratheodory's critique in Newmann's article.
Image Not Available
for Κριτική του Καραθεοδωρή σε άρθρο του Holder.
Caratheodory's critique in Holder's article.
Image Not Available
for Το πρόβλημα της βραχυχρονίας.
The problem of short-termism.
PrimaryMedia:
Synthetic geometry.
Lefèvre A, Imprimeur
1901
Image Not Available
for Το πρόβλημα του Riemann για τις ελάχιστες επιφάνειες.
Riemann's problem of minimum surfaces.
1903